previous | next

Figure 2
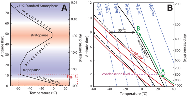
Figure 2.

(A) Profile of atmospheric temperature as represented by the U.S. Standard Atmosphere. (B) Profile of three pairs of dry and moist adiabats in Earth’s atmosphere intended to illustrate thermodynamic processes involved in exothermic condensation of ascending air masses. Each pair crosses a condensation level at 2 km altitude. The green arrow highlights the adjacent ascent path of a parcel of air rising from sea level to 2 km along a dry adiabat. The starting temperature of this ascent path (>40 °C) is unusually high for typical weather but low for air heated by fire. Humidity reaches 100% at the condensation level (point “A”) and exothermic water condensation begins with further ascent. Ascent to 8 km (point “B”) produces so much heat from water condensation that the temperature of the air parcel is 35 °C greater than it would have been if there had been no water condensation. Blue dashed lines represent water content of saturated air. In a skew-T/log-P diagram (T—temperature; P—pressure) used by weather forecasters to plot conditions during weather-balloon ascent, the entire diagram is sheared top-right so that the adiabatic ascent path is closer to vertical (Petty, 2008).

previous | next