Full Text View

Volume 33 Issue 9 (September 2023)

GSA Today

Article, p. 4-10 | Abstract | PDF

Paleogeographic Maps: Audience Insights on Portrayal of Ancient Terrain and Climate

Hannah M. Bonner

Department of Geological Sciences, University of Colorado Boulder, Boulder, Colorado 80309, USA

Leilani A. Arthurs

Department of Geological Sciences, University of Colorado Boulder, Boulder, Colorado 80309, USA

Ellen K. Roth

Denver Museum of Nature & Science, 2001 Colorado Boulevard, Denver, Colorado 80205, USA

James W. Hagadorn*

Denver Museum of Nature & Science, 2001 Colorado Boulevard, Denver, Colorado 80205, USA

Abstract

Paleogeographic maps are one of the most used earth science communication tools, but their efficacy with audiences remains uninvestigated. We present new data that begins to close this gap, gleaned from an intercept interview study of two communities—practicing geoscientists (i.e., “professionals”) and adults who visit locations where paleogeographic maps are commonly displayed (“the public”). In this work, we sought to determine: (1) how commonly used paleogeographic maps convey the terrain and climate of ancient Earth; and (2) how community perception informs new practices for creating paleogeographic maps. When presented with paleogeographic maps, the public can identify about three large-scale landscape features (often including mountains and ocean) but not smaller or more subtle geomorphic features (e.g., rivers, volcanos, or plains). In contrast, practicing geoscientists identify about five features at a variety of spatial scales. Given an example of a warm, wet landscape, public audiences can describe one of two components of portrayed climate (i.e., warm or wet), but are less adept at identifying both climate components. Professionals are better able to identify climate components but are only able to fully describe climate 55% of the time. Paleogeographic maps catalyze curiosity in both public and professional audiences, commonly prompting questions or hypotheses about how ancient Earth reached modern-day conditions or about the time period shown. Professional geoscientists also want more information on sources of data. Recommendations to enhance the efficacy of paleographic maps include adding data sources and employing an aesthetic with detailed bathymetric shading, high contrast, and explicit climate indicators.

James Hagadorn Orchid ID icon https://orcid.org/0000-0003-1258-3525
*jwhagadorn@dmns.org
CITATION: Bonner, H.M., Arthurs, L.A., Roth, E.K., and Hagadorn, J.W., 2023, Paleogeographic maps: Audience insights on portrayal of ancient terrain and climate: GSA Today, v. 33, p. 4–10, https://doi.org/10.1130/GSATG544A.1 © 2023 The Authors. Gold Open Access: This paper is published under the terms of the CC-BY-NC license. Printed in the USA.

Manuscript received 20 Apr. 2022. Revised manuscript received 26 Oct. 2022. Manuscript accepted 6 July 2023. Posted 31 July 2023.

© The Geological Society of America, 2023. CC-BY-NC.

https://doi.org/10.1130/GSATG544A.1

 

Introduction

Paleogeographic maps—illustrations that depict the topography and morphology of ancient Earth—are some of the most commonly used figures in the geosciences. Such maps are prized for the accessible way they portray ancient terrain and climate, in part because we assume no training or technical language is required to understand their illustrated landscapes.

Unfortunately, this assumption is not based on audience research or empirical data. Although paleoart generally increases paleoenvironmental understanding among the public (Wang et al., 2019), our community has not yet evaluated the efficacy of paleogeographic maps as science communication tools—for the public, for our students, or for our own professional geoscience community.

In contrast, geographic visualizations of modern settings enhance communication (Sheppard et al., 2008; Caquard, 2011; Xiang and Liu, 2016), aid scientific reasoning (Blank et al., 2016), improve consultation with Indigenous communities (Lewis and Sheppard, 2006), and foster responses to climate change (Bohman et al., 2015). However, the media used in these studies are usually aerial or satellite images of extant landscapes. Paleogeographic maps, while attempting to be photorealistic, blur the line between such geographic visualizations and art (aka “paleoart”). As a result, they conflict with the viewer’s perception of modern Earth and may challenge unconscious assumptions or distort meanings and interpretation (Sheppard and Cizek, 2009; Witton, 2017).

We began to address this knowledge gap in a new qualitative study that explores the efficacy of three commonly used versions of this omnipresent science-communication tool. In this pilot study of professional geoscientists and the public, we sought to understand: (1) to what extent popular paleogeographic maps succeed at communicating the terrain and climate of ancient Earth, and (2) whether audience perception can inform how we create future paleogeographic maps.

 

Study Approach

We focused on three commonly employed types of paleogeographic maps. Our maps represent a continuum of paleogeographic artistry, from stylized paintings to realistic satellite imagery, and they capture the diversity of map styles used in public and professional settings. Likewise, our map content, a portrayal of what the western U.S. may have looked like during the early Campanian (Late Cretaceous), was chosen to include a diverse range of colors, contrast, textures, and landforms. The map ratio and region were selected to include overlays of state boundaries that would be recognizable to study participants and provide a language-independent and nonnumerical sense of scale. Maps included a “Blakey” map (Fig. 1A; see deeptimemaps.com and Blakey and Ranney, 2008, for additional examples), a “Morris” map (Fig. 1B; see Morris et al., 2016), and a Google Earth–style “satellite” map, produced by stitching together U.S. Department of Agriculture (USDA) satellite data from the Java Sea and the Andes Mountains to create a photorealistic rendition of an interior seaway bounded by mountains (Fig. 1C; https://earth.google.com/web/ [created 2017; accessed August 2021]).

Figure 1Figure 1

Paleogeographic maps used in this study, including views of the western United States ~80 m.y. ago from (A) deeptimemaps.com (see also Blakey and Ranney, 2008), (B) Morris et al. (2016), and (C) U.S. Department of Agriculture satellite imagery, stitched together from Google Earth (2017). A legend is not included because such images generally do not have one when employed in public venues, such as on reader rails, on interpretive panels, or in animations.

Our study consisted of scripted interviews (Supplemental Material File S11) with a random selection of adults, including college-age students (hereafter the “public”; n = 110; Table S1), who visited the Denver Museum of Nature & Science (DMNS), Garden of the Gods Park (GG), and the Natural History Museum of Utah (NHMU). Interviews were also conducted with a group of geoscientists who had graduate geology degrees and used satellite imagery in their vocation (hereafter the “professionals”; n = 38). Each interviewee was handed an 8″ × 10″ color print of one of the paleogeographic maps (Fig. 1), provided with a brief description of what they were looking at, and verbally asked questions about it (see File S1 for list of questions and interview script). All three maps were shown for the final interview question.

-------
1 File S1. Interview script. File S2. Coding manual. Table S1. Metadata for the public and professional populations interviewed. Table S2. Types of landscape features identified by participants. Table S3. Common questions and hypotheses expressed by participants. Please visit https://doi.org/10.1130/GSAT.S.23639358 to access the supplemental material, and contact editing@geosociety.org with any questions.

Interview recordings were transcribed and analyzed in an emergent coding process.

Common themes were built into a coding manual (File S2 [see footnote 1]) and, to ensure reproducibility, one of us coded the entire dataset. Inter-rater reliability was assessed for each field by an additional researcher who coded 16% of the dataset. Cohen’s kappa values were >0.60 for all codes and determined to have substantial to near-perfect agreement. For chi-square tests, the public audience was sorted into two groups based on their self-rated level of past experience viewing satellite imagery, including those who rated themselves 1–3 on a scale of 1–5 (our “novice” group; n = 77) and those who self-rated as 4–5 (our “experienced” group; n = 33); the geoscientist community remained in their own “professional” group for these analyses.

 

Results

Participants were asked to list landscape or water features they saw on the map. The public distinguished areas of land and water well (95% of respondents; Table S2) and identified several specific features. Eighty-six percent of respondents noted areas of high elevation (e.g., mountains), 68% identified the portrayed water body as an ocean or sea, and 41% mentioned at least one type of shoreline feature, such as an inlet, bay, or beach. However, this group often missed subtle terrain features commonly identified by professionals. For example, 66% of professional geoscientists saw rivers, whereas only 27% of the public did.

Professionals were also more likely to identify features commonly listed by the public: 95% noted areas of high elevation, 97% identified ocean or sea, and 79% mentioned at least one shoreline feature.

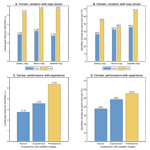
This offset in performance was consistent when examining the average number of features correctly identified. The public correctly identified an average of 2.98 features, whereas the professionals identified 5.34 features (Fig. 2A); a one-way ANOVA test showed this difference to be significant (F(1,146) = [72.12], p <0.001). Likewise, experience viewing satellite imagery correlated with increased performance at identifying landscape features. Novices (self-rating of 1–3 experience level on a scale of 1–5) identified an average of 2.74 features, whereas more experienced members of the public (self-rating of 4–5) averaged 3.55 features. Chi-square testing confirmed correlation between number of features correctly identified and sorting into the novice public, experienced public, or professional group (χ2 = 63.6, p <0.001; Fig. 2C). Interestingly, older respondents (60+ years) correctly identified an average of 3.21 features, whereas younger respondents (<60 years) averaged 2.93 features. Respondents who were shown the Morris map (Fig. 1B) identified an average of 3.29 features, whereas respondents shown the other two maps averaged 2.82 features (Fig. 2A).

Figure 2Figure 2

Performance of public and professional communities at identifying (A) multiple landscape features and (B) correct climate portrayed in three paleogeographic maps (Blakey, Morris, and satellite). (C, D) Relationship between past experience with satellite images and success at (C) identifying landscape features and (D) describing climate.

Communicating the Climate of Ancient Earth

Participants were asked to describe the climate shown on the map. Although multiple subclimates were portrayed, the goal of the maps was to show the overall tropical conditions present during this time period. Only 41% of the public mentioned “tropical” (or included some synonym for “wet” and “warm”) in their description. Likewise, only 55% of professionals described the climate as tropical (Fig. 2B).

Participants experienced at viewing satellite images (self-rating of 4–5) identified a tropical climate 48% of the time, whereas novices (self-rating of 1–3) identified a tropical climate only 38% of the time (Fig. 2D). However, individual variability was too high to suggest a correlation with a chi-square test (χ2 = 3.5, p = 0.18). Both public and professional groups performed best at identifying climate when shown the satellite map (Fig. 2B).

Questions about Paleogeographic Maps

Participants were asked if they had questions about their maps. Many respondents either had a question or presented a hypothesis about how ancient Earth changed to modern Earth (39% public; 29% professionals; Table S3 [see footnote 1]). Nearly 64% of the public mentioned plate tectonics and one-third of respondents either asked about or referenced the time period shown by the map (32% public; 32% professionals). Additionally, 26% of the professionals’ responses indicated that they wanted to know what sources of data were used to construct maps (vs. 6% of the public). Common secondary themes for both groups were requests to see more area than shown and confusion about what volcanoes looked like.

Preference in Map Portrayal

For the final interview question, participants were shown all three paleogeographic maps and asked to indicate which version they preferred. The public favored the Morris map (53%) versus the Blakey (25%) or satellite map (12%; Fig. 3A). Ten percent of respondents ranked two or more maps as equally preferred. This preference was statistically significant (one way ANOVA; F(2,447) = [21.63], p <0.001) and most pronounced at the DMNS and GG locations (Fig. 3A). Chi-square testing also showed correlation between age and favorite map (χ2 = 7.7, p = 0.05), with younger public participants choosing the Morris map and older (45+ years) participants preferring the Blakey map (Fig. 3B). Professionals were split between the Blakey (39%) and Morris map (37%; Fig. 3A) and exhibited similar preferences by age (Fig. 3C).

Figure 3Figure 3

Variations in preferred paleogeographic map based on (A) interview location (Denver Museum of Nature & Science [DMNS], Garden of the Gods Park [GG], and Natural History Museum of Utah [NHMU]) and age of the (B) public and (C) professional (Prof) audiences.

The public primarily chose the Morris map for its detail/realism (45% of respondents) and representation of water (59%; Fig. 4). In contrast, the Blakey map was chosen for its detail/realism (33%) and high contrast (33%). The satellite map was mostly chosen for its detail/realism (29%). These cited reasons were similar for professionals. Professionals also cited the color palette used to define landscape features as important in determining their map preference.

Figure 4Figure 4

Reasons for preferred paleogeographic map representation among (A) public and (B) professional audiences, including the most commonly cited reasons among both communities (C).
 

Interpretations

The tested maps were successful at communicating basic terrain distinctions (e.g., areas of land vs. water) and highlighting a few large-scale features (e.g., ocean/sea, shoreline, a high-elevation feature). This interpretation is consistent with observed public audience success in interpreting satellite data (Svatoňová, 2016a). Consequently, the success of popular paleogeographic maps depends largely on the application goal. If maps are used to help viewers distinguish between land and water boundaries and highlight visually large terrain features, they are successful.

However, our results suggest that if maps are used to communicate smaller-scale terrain features (e.g., rivers, volcanoes), visualize subtle features (e.g., flatland or plains), or distinguish between similar features (e.g., delta vs. beach vs. inlet), they will not succeed for the average adult, including college-age adults. These results parallel observations of public ability to interpret modern aerial images (Lloyd et al., 2002).

More nuanced terrains are visible to the trained eye. Professionals identified more than five different terrain features (Fig. 2A), a finding supported by research on modern landscapes that shows that practice and training leads to greater proficiency at interpreting geospatial imagery (Svatoňová, 2016b; Šikl et al., 2019; Arthurs et al., 2021). Likewise, we found a correlation between self-rated experience and number of features correctly identified (Fig. 2C), suggesting that increased experience elevates performance of older public respondents versus younger respondents. This result resonates with findings that show that increased discipline-specific knowledge improves scientific observation (e.g., Barth-Cohen and Braden, 2021).

Intriguingly, the artistic style of the paleogeographic map may also influence performance. Public respondents identified ~0.5 more features using the Morris map (the map they liked best) versus the satellite map. This influence has been observed in studies on the interplay between aesthetics and viewer perception (Daniel and Meitner, 2001) and on effective and inclusive visualization (Sheppard, 2001; Sheppard and Cizek, 2009; Oliveira and Partidário, 2020). In contrast, professionals performed best on the satellite map—the map they liked least, but also the presentation they were most familiar with, given their vocation.

Surprisingly, less than half of the public population identified the tropical climate portrayed by the maps (Fig. 2B). Professionals did better, but not significantly so (55% of respondents). Although there is research on how audiences perceive aerial and satellite landscape features (Lloyd et al., 2002; van Coillie et al., 2014; Svatoňová, 2016a), no similar research has explored how audiences perceive climate. This gap may relate to the challenge of deriving climate from true-color satellite imagery. In practice, other spectral bands and remote sensing tools are used to provide data on precipitation and temperature (see reviews by Tomlinson et al., 2011; Levizzani and Cattani, 2019).

In both study groups, most participants got at least one component of climate (i.e., warm or wet) correct. However, both of these terms are subjective—a subtropical or temperate climate could also be described as warm and wet. Further, because we accepted any description of climate including synonyms for warm and wet as correct, it is possible the percentage of respondents who actually perceived a tropical climate was even lower than reported. These results suggest that paleogeographic maps may have unforeseen challenges in communicating climate. At best, such maps may exclude possible climate extremes (e.g., most participants did not perceive an overall cold or dry climate), but viewers are expected to struggle with distinguishing where in a broad spectrum of temperature and precipitation a portrayed region falls. These results are paralleled by research that demonstrates the difficulty of communicating climate change through non-satellite visualizations (Lewandowsky and Whitmarsh, 2018).

In considering our study’s impact on future paleogeographic map design, practices that place emphasis on subtle landscape features of interest (e.g., a key or label pointing out volcanoes—in popular use, paleogeographic maps generally lack legends) may improve performance at identifying terrain (Lloyd and Bunch, 2010). Adding more visual context about temperature and precipitation may likewise improve performance at distinguishing climate. One important climate cue is color choice. Similar to analysis of satellite imagery, map color creates a greenness index that defines vegetation cover (Burgan and Hartford, 1993) and was frequently cited as an indicator of climate (42% of public and 66% of professionals). Accordingly, the greenest map (satellite map) was the map most likely to have its climate correctly identified as warm and wet (Fig. 2B). Landscape features may also act as climate cues (e.g., snowy mountains, glaciers, dune fields). To narrow these indicators further, we recommend adding explicit information on climate, such as a thermometer showing average annual temperature and a gauge showing annual precipitation.

The most common public feedback includes a desire to understand how the portrayed Earth changed into modern-day Earth (39% of respondents) and curiosity about the time period portrayed by the visualization (32%). These responses suggest that paleogeographic maps should be paired with an explanation or visualization of how areas change across time periods and a clear statement of the portrayed age. Furthermore, the public’s common presentation of a hypothesis involving plate tectonics suggests the public was utilizing outside, but interconnected, knowledge in their interpretations. Research exploring the application of interconnected knowledge supports this linkage (e.g., Posner et al., 1982; Schlichting and Preston, 2015; van Kesteren et al., 2018).

While professional geoscientists share some interests with the public, professionals are four times more likely to question sources of data used to construct the map. This finding is supported by research that shows that scientific experience enhances critical thinking about data legitimacy (Byrnes and Dunbar, 2014; Vincent-Lancrin et al., 2019). If paleogeographic maps are being designed for a professional audience, including data sources that underpin such maps should increase viewer satisfaction.

The public preferred the Morris map, primarily because of its representation of water and detail (Figs. 3 and 4). This map had the most visible bathymetry, which was likely especially important for a map portraying so much water. In contrast, participants interviewed at NHMU and older respondents were less likely to choose the Morris map (Fig. 4). These participants instead preferred the Blakey map, commonly citing its high contrast. We hypothesize that this high contrast was more likely to be a deciding factor in settings with poor lighting (the case at NHMU) and with older participants who are likely to have declined contrast sensitivity (see experiments by Ashraf et al., 2021). These considerations may explain the relation between location, age, and map preference.

Audience preferences inform insights for increasing the impact of paleogeographic maps among public and professional audiences. For example, our findings suggest that most viewers prefer an illustrated rather than a photo-accurate paleogeographic map and that the most effective map will have detailed bathymetry, as in the Morris map, and high contrast, as in the Blakey map. The weight given to each of these components, and the aesthetic style used to achieve them, should vary based on display location and the age of the target audience (Oliveira and Partidário, 2020) and may be explored in future, specified work.

 

Conclusions

This study is the first to directly explore the efficacy of paleogeographic maps as communication tools. We identified both successes and limitations in the efficacy of the three paleogeographic maps we tested. For example, an average public viewer grasped the general terrain portrayed by a map, an indication that the impact of large-scale tectonics was being absorbed, but was less likely to notice subtle features visible to an experienced viewer or geoscience professional, like rivers, deltas, and plains. Surprisingly, both public and professional audiences struggled to identify all components of portrayed climate. These findings suggest that the effectiveness of popular paleogeographic maps varies largely depending on the audience (e.g., novice public vs. experienced public vs. geoscience professional) and on what the map is trying to communicate (e.g., general landscape vs. specific landscape vs. climate). Adding nontraditional content to paleogeographic maps, such as landscape feature keys or more explicit indicators of climate, is predicted to improve their efficacy as communication tools.

We also explored the impacts of paleogeographic maps. Many viewers, regardless of experience level, wanted more information about the time period portrayed in the maps and were curious about how the ancient Earth displayed in the maps reached modern-day conditions. Professionals also had questions about sources of data. We hypothesize that tailoring paleogeographic maps to include this information will increase viewer engagement and satisfaction. Likewise, participants had clear preferences for map aesthetics. All audiences tended to favor one map over another due to representation of water and how “realistic” they felt it was. The result of the high impact of oceanic depiction is striking, especially given that much of the earth-science community’s efforts focus on continent reconstruction, and geoscientists tend to focus more on depictions of ancient land, rather than ancient bathymetry.

In sum, these insights on paleogeographic map efficacy and recommended future practices begin to lay a foundation for conveying ancient Earth in ways that meet the evolving needs of our audiences. We hope this pilot work is the first of many studies to explore how we as a scientific community use paleogeographic maps to communicate to the public, to students, and to each other.

 

Acknowledgments

We thank an anonymous Denver Museum of Nature & Science donor for supporting this scholarship, and the members of the public, practicing geoscientists, and peers in our regional geoscience societies who contributed to this work. We are grateful to Bob Raynolds, Brian Ruskin, and Patrick Sullivan for setting the stage for this project; to Eric Smyth, Lynne Zummo, Brett Tennis, and Holger Petermann for helping with surveys and interpretation; to Eric Small, Ben Livneh, and Mark Raleigh for guiding the project to completion; and to two anonymous reviewers who helped improve this manuscript. Finally, we appreciate and are humbled by the field-defining work of Ron Blakey, Chris Scotese, and contributors to the Rocky Mountain Association of Geologists’ “Big Red Book” (Mallory, ed., 1972) for paving the way for our success.

 

References Cited

  1. Arthurs, L.A., Baumann, S.P., Rice, J.M., and Litton, S.D., 2021, The development of individuals’ map-reading skill: What research and theory tell us: International Journal of Cartography, v. 9, p. 3–28, https://doi.org/10.1080/23729333.2021.1950318.
  2. Ashraf, M., Wuerger, S., Martinovic, J., and Mantiuk, R., 2021, Effect of age on threshold and suprathreshold contrast vision: Journal of Vision, v. 21, https://doi.org/10.1167/jov.21.9.2574.
  3. Barth-Cohen, L.A., and Braden, S.K., 2021, Unpacking the complexity in learning to observe in field geology: Cognition and Instruction, v. 40, p. 233–265, https://doi.org/10.1080/07370008.2021.1934683.
  4. Blakey, R., and Ranney, W., 2008, Ancient Landscapes of the Colorado Plateau: Grand Canyon, Arizona, Grand Canyon Association, 156 p.
  5. Blank, L.M., Almquist, H., Estrada, J., and Crews, J., 2016, Factors affecting student success with a Google Earth-based earth science curriculum: Journal of Science Education and Technology, v. 25, p. 77–90, https://doi.org/10.1007/s10956-015-9578-0.
  6. Bohman, A., Neset, T.-S., Opach, T., and Rød, J.K., 2015, Decision support for adaptive action: Assessing the potential of geographic visualization: Journal of Environmental Planning and Management, v. 58, p. 2193–2211, https://doi.org/10.1080/09640568.2014.973937.
  7. Burgan, R.E., and Hartford, R.A., 1993, Monitoring vegetation greenness with satellite data: General Technical Report INT-297, U.S. Department of Agriculture, Forest Service, Ogden, Utah, 13 p.
  8. Byrnes, J.P., and Dunbar, K.N., 2014, The nature and development of critical-analytic thinking: Educational Psychology Review, v. 26, p. 477–493, https://doi.org/10.1007/s10648-014-9284-0.
  9. Caquard, S., 2011, Cartography I: Mapping narrative cartography: Progress in Human Geography, v. 37, p. 135–144, https://doi.org/10.1177/0309132511423796.
  10. Daniel, T.C., and Meitner, M.M., 2001, Representational validity of landscape visualizations: The effects of graphical realism on perceived scenic beauty of forest vistas: Journal of Environmental Psychology, v. 21, p. 61–72, https://doi.org/10.1006/jevp.2000.0182.
  11. Levizzani, V., and Cattani, E., 2019, Satellite remote sensing of precipitation and the terrestrial water cycle in a changing climate: Remote Sensing, v. 11, https://doi.org/10.3390/rs11192301.
  12. Lewandowsky, S., and Whitmarsh, L., 2018, Climate communication for biologists: When a picture can tell a thousand words: PLoS Biology, v. 16, https://doi.org/10.1371/journal.pbio.2006004.
  13. Lewis, J.L., and Sheppard, S.R.J., 2006, Culture and communication: Can landscape visualization improve forest management consultation with indigenous communities?: Landscape and Urban Planning, v. 77, p. 291–313, https://doi.org/10.1016/j.landurbplan.2005.04.004.
  14. Lloyd, R.E., and Bunch, R.L., 2010, Learning geographic information from a map and text: Learning environment and individual differences: Cartographica: The International Journal for Geographic Information and Geovisualization, v. 45, p. 169–184, https://doi.org/10.3138/carto.45.3.169.
  15. Lloyd, R., Hodgson, M.E., and Stokes, A., 2002, Visual categorization with aerial photographs: Annals of the Association of American Geographers, v. 92, p. 241–266, https://doi.org/10.1111/1467-8306.00289.
  16. Morris, T.H., Spiel, K.G., Cook, P.S., and Bonner, H.M., 2016, Landscapes of Utah’s Geologic Past: A Summary of Utah’s Fascinating Geologic History: Provo, Utah, BYU Press, 80 p.
  17. Oliveira, A.R., and Partidário, M., 2020, You see what I mean?—A review of visual tools for inclusive public participation in EIA decision-making processes: Environmental Impact Assessment Review, v. 83, https://doi.org/10.1016/j.eiar.2020.106413.
  18. Posner, G.J., Strike, K.A., Hewson, P.W., and Gertzog, W.A., 1982, Accommodation of a scientific conception: Toward a theory of conceptual change: Science Education, v. 66, p. 211–227, https://doi.org/10.1002/sce.3730660207.
  19. Schlichting, M.L., and Preston, A.R., 2015, Memory integration: Neural mechanisms and implications for behavior: Current Opinion in Behavioral Sciences, v. 1, p. 1–8, https://doi.org/10.1016/j.cobeha.2014.07.005.
  20. Sheppard, S.R.J., 2001, Guidance for crystal ball gazers: Developing a code of ethics for landscape visualization: Landscape and Urban Planning, v. 54, p. 183–199, https://doi.org/10.1016/S0169-2046(01)00135-9.
  21. Sheppard, S.R.J., and Cizek, P., 2009, The ethics of Google Earth: Crossing thresholds from spatial data to landscape visualisation: Journal of Environmental Management, v. 90, p. 2102–2117, https://doi.org/10.1016/j.jenvman.2007.09.012.
  22. Sheppard, S.R.J., Shaw, A., Flanders, D., and Burch, S., 2008, Can Visualisation Save the World? Lessons for Landscape Architects from Visualizing Local Climate Change: Proceedings of Digital Design in Landscape Architecture 9th International Conference on IT in Landscape Architecture, Dessau/Bernburg, Germany: Anhalt University of Applied Sciences, May 29–31, 2008.
  23. Šikl, R., Svatoňová, H., Děchtěrenko, F., and Urbánek, T., 2019, Visual recognition memory for scenes in aerial photographs: Exploring the role of expertise: Acta Psychologica, v. 197, p. 23–31, https://doi.org/10.1016/j.actpsy.2019.04.019.
  24. Svatoňová, H., 2016a, New trends in obtaining geographical information: Interpretation of satellite data, in Maturo, A., Hošková-Mayerová, Š., Soitu, D.-T., and Kacprzyk, J., eds., Recent Trends in Social Systems: Quantitative Theories and Quantitative Models: Cham, Switzerland, Springer International Publishing, p. 173–182, https://doi.org/10.1007/978-3-319-40585-8_15.
  25. Svatoňová, H., 2016b, Analysis of visual interpretation of satellite data: The International Archives of the Photogrammetry, Remote Sensing and Spatial Information Sciences, v. XLI-B2, XXIII ISPRS Congress, 12–19 July 2016, Prague, Czech Republic, https://doi.org/10.5194/isprs-archives-XLI-B2-675-2016.
  26. Tomlinson, C.J., Chapman, L., Thornes, J.E., and Baker, C., 2011, Remote sensing land surface temperature for meteorology and climatology: A review: Meteorological Applications, v. 18, p. 296–306, https://doi.org/10.1002/met.287.
  27. van Coillie, F., Gardin, S., Anseel, F., Duyck, W., Verbeke, L., and De Wulf, R., 2014, Variability of operator performance in remote-sensing image interpretation: The importance of human and external factors: International Journal of Remote Sensing, v. 35, p. 754–778, https://doi.org/10.1080/01431161.2013.873152.
  28. van Kesteren, M.T.R., Krabbendam, L., and Meeter, M., 2018, Integrating educational knowledge: Reactivation of prior knowledge during educational learning enhances memory integration: npj Science of Learning, v. 3, https://doi.org/10.1038/s41539-018-0027-8.
  29. Vincent-Lancrin, S., González-Sancho, C., Bouckaert, M., de Luca, F., Fernández-Barrerra, M., Jacotin, G., Urgel, J., and Vidal, Q., 2019, Foster-ing Students’ Creativity and Critical Thinking: What It Means in School, Educational Research and Innovation: Paris, France, OECD Publishing, 350 p., https://doi.org/10.1787/62212c37-en.
  30. Wang, Q., Lekamalage, L., Chandrasena, T.N., and Lei, Y., 2019, A critical review of the application of paleo-art in paleontological exhibition: A case study of the Dinosaurs of China exhibition in Wollaton Hall and Lakeside Arts, Nottingham: Museum Management and Curatorship, v. 34, p. 521–536, https://doi.org/10.1080/09647775.2019.1573700.
  31. Witton, M.P., 2017, Recreating an Age of Reptiles: Ramsbury, UK, The Crowood Press, 112 p.
  32. Xiang, X., and Liu, Y., 2016, Understanding ‘change’ through spatial thinking using Google Earth in secondary geography: Journal of Computer Assisted Learning, v. 33, p. 65–78, https://doi.org/10.1111/jcal.12166.